Calculus Challenge: A Slanted Revolution


Barry Leung 🦁

152 words

In this entry, we will solve the above problem using a rotational matrix.

Give this problem a try before jumping into the solution!


Solution

By rotating the curve C and the line y = x by π/4 radians anticlockwise about the origin, the rotated volume will be given by the rotated curve about the y axis between the points at which it crosses the y axis.


We will use the following rotational matrix

where θ = π/4.


Using linear matrix transformation, we have the following

We have condensed the problem into finding the area in green rotating around the y-axis with the above parametric expressions.

To find the limits of the integral, we need to set x = 0 and find the corresponding t.


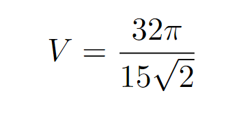
Volume

Using the formula for the volume of revolution in parametric form gives us the following

The above integral is left as an exercise for readers.

We have found the final volume.


Math Games is an entirely reader-supported publication dedicated to rekindling our love for simple math puzzles and illuminating the deeper ideas behind them. If you read it every day, or once in a while, and you value the effort and time that goes into it, considering liking this article and sharing it with your friends and family.

And if you are feeling extra generous today, consider buying me a cup of coffee or visiting our Official Math Games Merch Store today.

Each and every one of your contributions goes towards my life and other Math Games projects I am working on. At the moment, I am developing a web-based multiple choice Math Games Saga, as well as building up the Math Games YouTube Channel.


Comments

Leave a Reply

Your email address will not be published. Required fields are marked *