In school, we learn that a surd is an expression containing an irrational root, such as √11, √2, √5. They are used to irrational numbers exactly without rounding.
And no irrational numbers are not unreasonable, they are simply numbers that can not be expressed as a ratio between two integers p and q in the form of p/q.
With that out of the way, let’s grab a pen and a piece of paper, and give this a go. When you are ready, keep reading for the solution.

Solution
It takes a certain level of mathematical maturity to decipher a common characteristic of these 5 expressions.

Each of them can be written as the difference of two surds in the form above, where x is 100, 64, 25, 81 and 49 respectively.
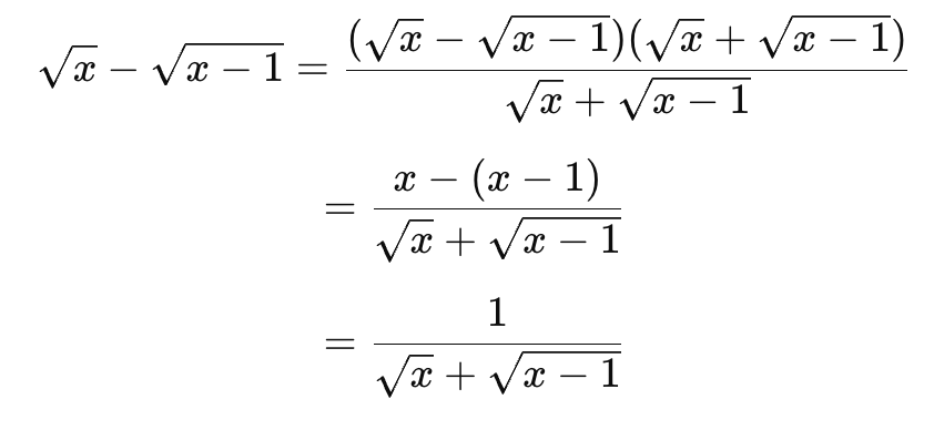
We will now multiply the general form by its conjugate and then divide by its conjugate. This way we are effectively multiplying the expression by 1, leaving it unchanged.

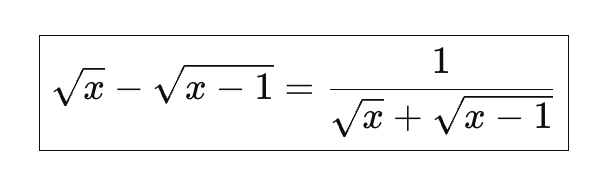
This expression is very helpful because the denominator √x + √(x – 1) is an increasing term with respect to x, that is to say, when x increases, so does the denominator.
3 is greater than 2, but 1/3 is less than 1/2. In a similar vein, √x – √(x – 1) = 1/(√x + √(x – 1)) must decrease with increasing values of x.

So the smallest expression is the one with the largest values of x.

So when x = 100, we get our smallest expression.




Leave a Reply