An Algebra Puzzle


Barry Leung 🦁

125 words

There are many ways one can solve this. It all boils down to what sort of techniques you are most comfortable with.

Now grab a pen and paper, and give this a go, When you are ready, keep reading for the solution.



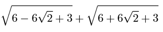
Solution

I am going to present this method of turning the insides of the square root into a perfect square.

The key is to decompose the 9 into 6 and 3.

Notice both of the insides are of the form a^2 -2ab + b^2 and a^2 + 2ab + b^2 respectively.

In our case, a is sqrt(6) and b is sqrt(3).

Then the squares and the roots cancel out.

So we get the following value.

How did you approach this problem. Let me and others know in the comments!


Math Games is an entirely reader-supported publication dedicated to rekindling our love for simple math puzzles and illuminating the deeper ideas behind them. If you read it every day, or once in a while, and you value the effort and time that goes into it, considering liking this article and sharing it with your friends and family.

And if you are feeling extra generous today, consider buying me a cup of coffee or visiting our Official Math Games Merch Store today.

Each and every one of your contributions goes towards my life and other Math Games projects I am working on. At the moment, I am developing a web-based multiple choice Math Games Saga, as well as building up the Math Games YouTube Channel.


Comments

Leave a Reply

Your email address will not be published. Required fields are marked *