Archimedes tackled the long-standing problem of finding the area of a parabolic segment (the region between a parabola and a chord). In Quadrature of the Parabola, a 3rd-century BC treatise addressed to his friend Dositheus, he proves that the area of any parabolic segment is 4/3 times the area of the inscribed triangle on the same base and height.
Here the “inscribed triangle” means the triangle with the parabola’s vertex and the ends of the base chord.
Earlier Greeks knew conics, (think of Menaechmus had studied parabolas, ellipses, hyperbolas) but lacked a method to compute their areas. Archimedes’ work was the first rigorous solution: he gave 24 propositions culminating in two proofs (one mechanical, one purely geometric) of this 4/3 ratio.
In modern terms, his result is equivalent to

Method of Exhaustion and Geometric Series

Archimedes’ geometric proof ingeniously “exhausts” the parabolic region by inscribing successively finer triangles. The process can be outlined in the following steps:
Step 1: Inscribe the largest possible triangle under the parabola (blue in the figure). Let this have area .
Step 2: The remaining gaps (two smaller parabolic “lobes” above the triangle) are each cut off by their own vertex-to-base chords. In each gap, Archimedes inscribes two new triangles (green) whose total area turns out to be .
Step 3: This leaves four tiny parabolic segments; inscribe four more triangles (yellow) of total area .
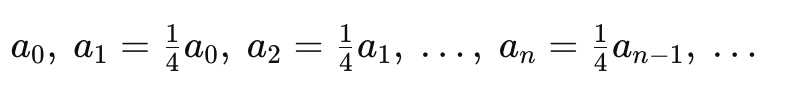
Step 4: Continue indefinitely. At the nth stage one adds triangles whose combined area is exactly . In this way the gaps get arbitrarily small, so the total area of all inscribed polygons Pn approaches the true area as .
In modern language, Archimedes shows that

i.e. the polygonal approximations exhaust the true segment. He proved by reductio (no “ε–δ” language) that the remainder can be made as small as desired, which is equivalent to taking a limit. Meanwhile each added batch of triangles forms a geometric progression:

so that . Hence the total area up to stage is

Archimedes then notes (or shows by a clever geometric argument) that the infinite sum converges to . In the limit , one obtains

precisely the statement that the parabolic segment’s area is of the triangle’s area. In other words, the procedure transforms the geometric exhaustion into the familiar infinite geometric series, a fact Archimedes essentially proved two millennia before modern series theory.
Connection to Calculus
Archimedes’ approach is strikingly analogous to the modern definite integral and limit process. Today one might write the parabola as and compute under the curve, but Archimedes did it geometrically. His successive triangles play the role of partition “rectangles” (see example Riemann-sum figure below). As the number of triangles grows, the polygonal area approaches the true curved area – essentially a limit of Riemann sums.

In fact, Archimedes’ reasoning anticipates integral calculus by almost 2,000 years. He did not have coordinates or calculus notation, but his lemmas (like parallels cut midpoints of chords) effectively meant in disguise. His statement “” is a proto-limit argument. Later, Archimedes even developed a heuristic mechanical method (revealed in the Archimedes Palimpsest) where he imagined slicing shapes into infinitesimal strips and balancing them on a lever – a procedure “astonishingly close” to modern integration. (He used that Method of Mechanical Theorems to discover results, though he only published the rigorous exhaustion proofs.)
Historical Significance and Influence

Archimedes’ quadrature result was a milestone. It is the first known rigorous summation of an infinite series, showing the power of Greek geometry and the exhaustion method (which was originally due to Eudoxus). The technique of filling a region with infinitely many shapes would become a cornerstone of calculus and analysis. For nearly eighteen centuries this was the best answer to “squaring” a parabola. Not until the 1600’s did mathematicians resume this line: Bonaventura Cavalieri (Rome, 1606) and his followers used Cavalieri’s indivisibles and other infinitesimal methods on parabolas. In particular, Torricelli extended Archimedes’ idea by giving a geometric way to sum the entire infinite series at once (whereas Archimedes stopped and appealed to exhaustion).
Archimedes’ result directly influenced the rise of integral calculus. As Boyer and others note, Cavalieri’s work “anticipated the deeper, more general methods of integral calculus”. The logic of Archimedes’ proof (limit arguments and geometric series) foreshadows Riemann sums and convergence of series. In sum, Archimedes’ quadrature of the parabola not only solved a specific classical problem, but it also laid conceptual groundwork for the integral calculus developed much later.
My 2 Cents

There is, to my mind, something curiously restrained about Archimedes’ achievement.
He does not announce a revolution. He does not proclaim a new science. He simply begins with a triangle, inscribed beneath a curve, and proceeds — patiently, almost stubbornly — to add another, and then another, and then another still.
Each addition smaller than the last. Each refinement justified.
The result, , is almost incidental. What endures is the method: the quiet conviction that a figure bounded by a curve may yet be comprehended by means of finite shapes, provided one is willing to pursue the process without haste and without fear of the infinite.
To us, accustomed as we are to integrals and limits, the conclusion appears inevitable. But it was not inevitable. It required the boldness to treat the infinite not as a metaphysical abyss, but as something that might submit to reason.
One senses here the germ of a far greater development. The calculus of Newton and Leibniz, the summation of infinite series, the careful formalism of analysis — all seem, in retrospect, to lie dormant within these triangles.
And yet Archimedes himself speaks only in the language of geometry.
It is perhaps this restraint that most impresses me. There is no appeal to mystery, no indulgence in abstraction beyond necessity. Only a steady narrowing of the gap between the known and the unknown.
In an age such as ours, inclined toward immediacy and spectacle, there is something instructive in that.
The parabola was not conquered by brilliance alone, but by patience.
And that, I think, is the more enduring lesson.




Leave a Reply