This is honestly one of the best puzzles for students and anyone looking to test their understanding of calculus.
It took me a while to be able to do it in my head, and I think there are two layers of understanding to the solution.
So give this problem a go, and when you are ready, keep reading for the solution!

Solution
The shape of the function and the area underneath is a distraction. I’d argue that the addition of the graph makes the problem harder than it is!
For simplicity, we can think of the function as a horizontal and so the area underneath is a rectangle of some sort.
We’re told the (shaded) area under the function f(x) from 1 to 2 is

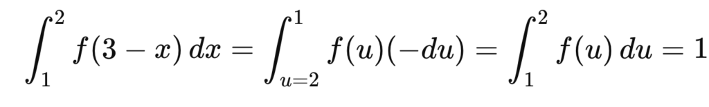
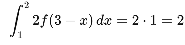
Let’s consider the graph of y = 2f(3 – x) from 1 to 2.

Here we have taken out the constant 2 to the front.
Now the trick is to apply a u-substitution to transform out integral into a useful form.

With this, we can find what du is in terms of dx.

Let’s find what u is given the bounds of x.
At the lower bound x = 1, u = 3 – 1 = 2.
At the upper bound x = 2, u = 3 – 2 = 1.

Well then the integral of f(3 – x) with respect to dx from the interval x = 1 to x = 2 givs us the same area as the integral of f(x) from the same interval.

Multiplying 1 by 2 gives us 2. The answer is therefore (ii).
Now you might be wondering why changing the function from f(x) to f(3. – x) has no impact on the area under the graph,
That’s because replacing x with 3 – x is a mirror flip left-right about the vertical line x = 1.5.

For any x between 1 and 2, the new input becomes 3 – x.
Here we can see that 1 swaps with 2, 1.2 swaps with 1.8, 1.4 swaps with 1.6, and 1.5 stays 1.5.
Clearly, all the values are mirrored about the line x = 1.5.
Now that we think of it this way, it’s easy to see that the value of the integral is doubled.




Leave a Reply