This algebra challenge comes from the 1997 Oxford University’s Entrance Exam. And to be honest, any student with a good understanding of the A-level curriculum should be able to work this out.
Specifically we want to find which power of x has the greatest coefficient in the expansion of polynomial shown above.
Now grab your pen and paper, and give this a go. When you are ready, keep reading for the solution.

Solution
Of course we can expand the whole expression and sum up all the like terms one by one, but that would defeat the point of this puzzle.
The trick here is to analyze the general term in the binomial expansion of our expression.
Let’s say we have the following general binomial raised to the power n.

Then the general term is

The bracket containing n and k is equivalent to nCk, pronounced as n choose k.
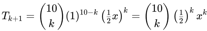
Let’s apply this to our specific binomial.

So the coefficient of the general term x^k is

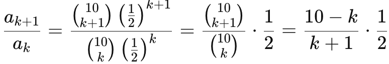
Our strategy now is to find the coefficient of the next general term x^(k+1) and analyze the behavior of the two.

We know that the coefficients increase of the ratio of a(k+1) and a(k) is greater than or equal to 1.
So we can form the following inequality.

8/3 is around 2.67. What does that mean?
It means the coefficient increases up to 2, meaning a3 > a2, but when k = 3, the ratio drops below 1. So the coefficient is the greatest when k = 3.
So the answer is (b) x^3.

As a sanity check, indeed the coefficient of x^3 is 15, which is greater than all other coefficients.




Leave a Reply